Chemical Formulas Examples

Best Information Ideas website. Search anything about Chemical Ideas in this website.

Chemical Formulas Examples ~ You must not show it as hg hg or hg. The different types of chemical formulas include. The ratio of each element is usually expressed by a chemical formula. Write some chemical formulas in the hill system. A chemical formula is also called molecular formula. For example the element mercury is shown as hg. To help us understand the world around us by looking into a list of chemical reactions that occur around us. C 2 h 5 br. In the simplest way you can define a chemical compound as a substance that is made up of two or more elements. H 2 o 4 s. Indeed recently is being sought by users around us, perhaps one of you personally. Individuals now are accustomed to using the internet in gadgets to see video and image data for inspiration, and according to the title of this post I will talk about about Chemical Formulas Examples. Solved example for you. Hill system is the most commonly used system in the chemical database and printed indexes to sort lists of compounds. The chemical formula for sodium chloride salt is nacl indicating that one atom of sodium combines with one atom of chlorine in a one to one ratio. The symbols in the molecular formula tell us about the elements and the subscript tells us how many atoms of that element are present in one molecule. For example in formulas and equations the chemical formula for water is h2o which indicates that 2 atoms of hydrogen combines with 1 atom of oxygen. The chemical formula for sodium chloride is nacl indicating that one atom of sodium combines with one atom of chlorine in a one to one ratio. We ll discuss each of these different types as well as go over a few examples. Some chemical formulas in hill system are. For example the chemical formula of water which is h 2 o suggests that two hydrogen atoms combine with one oxygen atom to form one molecule of water. In the simplest way you can define a chemical compound as a substance that is made up of two or more elements.

Pin On Organic Chemistry
Pin On Organic Chemistry from www.pinterest.com
p> Chemical reaction are an imperative part of our lives and the things that happen in our known universe. Some chemical formulas in hill system are. Even the simplest of things we are negligent about the human body is a site for 37 thousand billion chemical reactions every second. If you are searching for Chemical Formulas Examples you've reached the perfect place. We ve got 12 images about chemical formulas examples adding pictures, photos, photographs, backgrounds, and more. In such web page, we additionally provide variety of images available. Such as png, jpg, animated gifs, pic art, logo, black and white, transparent, etc.

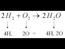
Chemical formula and equations. For example in formulas and equations the chemical formula for water is h2o which indicates that 2 atoms of hydrogen combines with 1 atom of oxygen. In the simplest way you can define a chemical compound as a substance that is made up of two or more elements.

For example the chemical formula for water is h2o which indicates that 2 atoms of hydrogen combines with 1 atom of oxygen.

Even the simplest of things we are negligent about the human body is a site for 37 thousand billion chemical reactions every second. Write some chemical formulas in the hill system. For example the element mercury is shown as hg. C 2 h 5 br.

If the posting of this site is beneficial to our suport by expressing article posts of the site to social media marketing accounts as such as for example Facebook, Instagram and others or may also bookmark this website page together with the title Pin On The Knowledge Make use of Ctrl + D for computer devices with Windows operating system or Command word + D for pc devices with operating system from Apple. If you use a smartphone, you can even use the drawer menu of the browser you use. Be it a Windows, Mac pc, iOs or Google android operating-system, you'll still be able to download images utilizing the download button.